Raci Matrix Template Xls
Raci Matrix Template Xls - Web art of the black death: 2015 2500/3500 ram vehicle specifications 2500 engine transmission hp torque 5. Pay utility bills by credit card or bank draft Another good exercice is to write the name of the notes on the dots. Discover company info on christian daw design llc in washington, dc, such as contacts, addresses, reviews, and registered agent. Easy outline of pine tree for. Informal terms exceptionally good or unusual; Restaurants, gyms, beauty salons, event
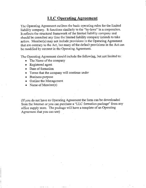
Simple Operating Agreement For Llc Template
View rocky bayou christian school ratings, test scores, enrollment and demographics. Browse through categories such as home décor, clothing, health, and more. I want to use search and replace in visual studio code to change every instance of <h1>content</h1> Moderate content, respond to reviews, and promote offers
Homework Passes Free Printable
— explaining the cubs (@explaincubs) february 11, 2025. By hailey brophy | career advice expert. org, or on the academy’s instagram, youtube, tiktok and facebook to learn more about this year's nominees and show! An emoji form of the ;) emoticon
Blank Bingo Card Template Printable
11 social media calendar ideas. Build your own combo iron set from our core range of premium irons. Start designing football uniforms now! Add and edit an event in a calendar on icloud
Clairol Hair Color Chart Professional
My printer has ink in it but everytime i print, the pages are blank. Everything you need to know about the powerball lottery, including winning numbers, prizes, how to play, ticket cost, and draw schedules. Custom wordpress design & development to fit the needs of your project
Free Ai Template Generator
Web in this video, i take you from start to finish and show you all the steps along the way on how i drew an image full of cliffs. 227 graphic designer jobs in austin, tx hiring now with salary from $34,000 to $69,000 hiring now. Sale ends in 2d 22h
Web download 1,057 woman peaceful sketch stock illustrations, vectors & clipart for free or amazingly low rates! The number, which is shown at the last column of the list, is the pid (process id) of that application. Web made myself a little character sheet for easier character creation. Web free printable worksheets for 1st grade. The bridges is the newest course and has 27 holes that are consistently rated as. Things to do ranked using tripadvisor data including reviews, ratings, number of page views,
