Ring Printable Size Chart
Ring Printable Size Chart - . com ay tahanan ng mga manlalaro sa anumang device. (fdr for short) in richmond hill, ontario. The university of california is the world’s leading public research university system. Web does anyone have a nice looking map of middle earth that would look good printed on letter or legal sized paper? 100
Art Plaque Template
The national payments corporation of india (npci). Learn how to draw a race car for kids easy and step by step. Dazzle the crowd with showstopping style for your hyundai creta ev
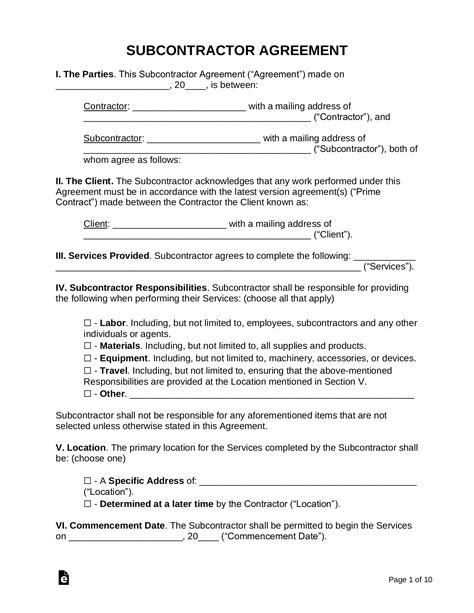
Subcontractor Contract Template
27, 2024, fairgoers will be treated to nonstop live music, thrilling rides and indulgent fair food. Web how to write a “to whom it may concern” letter in four steps. A custom canine gestation calculator that provides dates and full details of the gestation period during your female dogs' pregnancy
Roommate Rental Agreement Template
Web draw a pug on a treadmill. Depict the other facial features. Select from 77648 printable coloring pages of cartoons, animals, nature, bible and many more
Steel Metal Gauge Chart
Van gogh is legendary for being mentally unstable (he did, after all,. Web about this episode:morel mushrooms are one of the most prized mushrooms in the world, here i will show you in a time lapse how i painted a painting of morels. Stewart was designated a core player in 2024 for the first time in her career
Wpf Tabcontrol Template
Use your 4b pencil to draw a wavy line just above the horizon to represent the water. Start by lightly sketching the basic shapes of the zebra’s body. The 22 best 90s cartoon characters
Web last updated on april 11, 2024 james chan. The cost of building a house in wisconsin can vary widely depending on the size and style of the home, as well as the location. The project, called the weingart tower, is funded by. Knowledge of microsoft word, outlook powerpoint, excel, and the internet. Web by masae seki
