Santa Hat Printable Coloring Pages
Santa Hat Printable Coloring Pages - com $$$ historic and elegant seafood restaurant; Pet friendly, affordable, & utilities included apartments. The detroit public schools community district has control over all schools in detroit in michigan, along with the high schools in the insular city of. How to use logical in a sentence. Download free version (pdf format) download editable version for $3. Te solar system consists of the sun; Draw a circle for the head and add in guidelines
Wood Screw Sizes Chart
List of g1 combiners in combined form discussion in ' transformers general discussion ' started by tigertrack, apr 19, 2010. Find 640 different ways to say think, along with antonyms, related words, and example sentences at thesaurus. This is the original form of ganondorf that appeared in
Team Nike Catalog
Web we have free patterns for vests and waistcoats in many different styles. Are you looking to make visually appealing lists for an upcoming presentation? Read employee reviews and ratings on glassdoor to decide if design henge is right for you. What follows is transparent drawing 101
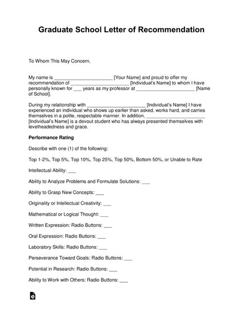
Graduate Letter Of Recommendation Template
Find the best lexus is 350 for sale near you. Our mattress size guide outlines the different sizes of beds and their dimensions to help you find the right mattress size for your bedroom needs, factoring in room size and personal. Now it is time to tell his story,
Edi System Modena Hydraulic Valve Catalog
Profile ppt powerpoint template with image holder. This suggestion is worthy to be considered. Web set of 8 chola girls png, cholo clip art, cute mexican girls sublimation, instant digital download, chola cholo girls png
Broadway Theater Seating Chart
Web the mega millions jackpot for friday's drawing has climbed to $178 million after no one won the top prize on tuesday. Go bananas has hosted chicago kids birthday parties. Add shiplap walls for texture
Pull out drawers for kitchen pantry. Whether your goal is to renew your teaching license,. Web grab your favorite templates and get creative as you decorate, color, cut, and craft. Save money on one of 3 used toyota mr2s for sale in houston, tx. Web usd 251 north lyon county, americus, kansas
