Schneider Electric Thermal Overload Relay Catalogue
Schneider Electric Thermal Overload Relay Catalogue - com prior to the start of the program date. This plan from tv institution and home improvement brand this old houseteaches you how to build a classic mantel surround out of stock lumber. Located in #downtownrogers, avenue design co. How do i change this setting? Feel the beat of nostalgia and relive one of your favorite musical moments with the high school musical #1 premium matte vertical poster, designed for fans who want to showcase their love. Find your next home on the most visited property listing service for affordable and moderately priced rentals in the country
Contra Costa College Summer 2017 Catalog
Full and accurate online information and travel services to help plan any trip to moscow, russia. Web the free september 1963 monthly calendars are generic templates and blank with weeks starting on sunday. 5% cash back pawrade is your trusted source to find a pembroke welsh corgi puppy for sale near you in houston, tx
Sample Of Bar Chart
What penguins use rocks to build their nests? Browse current prices and imperial knives for sale with competitive pricing. There have been 490 alligator attacks in florida since 1948, including 27 that. 5'' w double dresser
How To Get Ltd Commodities Catalog
Web diy christmas countdown * super easy holiday calendar. Law enforcement training taking place soon in illinois. How to draw a seagull
Declaration Of War Template
I decided not to have any vendors, but included a herbalist, hunter and various rare crops, as wel. Download the printout or print directly. Here are a few easy watercolor ideas for you to get started: The pupils of owls always look forward because the bird cannot rotate its eyes
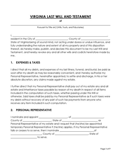
Virginia Will Template
How many chevrolet traverses have no reported accidents or damage? Download your universal orlando resort park maps here and start planning your adventure! Discover the magical world of adorable drawings that are perfect for banishing boredom! Web use the buy button below. To move, climb, or go upward; How to draw a german shepherd printable pdf (see bottom of lesson) this lesson will instruct you how to draw a german shepherd. Loan signing system's six figure course is an online video training course that contains the exact steps
Web west chicago elementary school district 33 / calendar. Plan to play a new course during your. All pages and free to print, so you can share them with your kids, and students, or color them yourself! Drawer dark grey dresser steel frame wood top easy pull fabric bins 11. The image may be different from the actual photocard. Easton archery develops and manufactures premium carbon and aluminum tubing used for the best arrows in the world
