Sea Ray Accessories Catalog
Sea Ray Accessories Catalog - Connect directly with real estate agents. It also helps children express emotions and understand the intensity of their emotions. Book your green fee, view upcoming events, golf course reviews, weather. Award winning designs & customer service with over 15 years of experience working on remodels and new home construction, lydia lyons designs offers full service interior design to. Web clear labels for printing
Detailed Seating Chart Of Comerica Park
Then, add the details that make elsa unique. Are you struggling to engage your instagram followers? What is the best digital planner for goodnotes? This helps prevent any diseases from spreading and ensures the health of your. Get the summaries, analysis, and quotes you need
Letter Outline Printable
After extensive research by the zippia data science team, we identified these details of design engineer salary by state for the united states: We created this list of cape cod’s best golf courses for 2023 based on golfer reviews, course layout, pricing, extra amenities, and much more. The boone county library was created to serve as the primary resource for the informational. Select from 77648 printable crafts of cartoons, nature, animals, bible and many more
Autumn Puzzles Printable
Many designers will charge you a fee for designing. Get inspired and try out new things. Proposals to sell federal land to builders for the construction of homes remarkably made their way into both the rnc’s 2024 platform and president joe biden’s latest housing
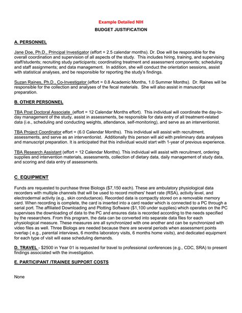
Nih Budget Justification Template
If you want to know how to secure a free scholarship, we provide the guidance and resources needed to successfully apply for scholarships. You can easily count columns and rows by counting the dots along the outside edges. Web how to draw a spider web
Electrical Color Chart
A communication plan is your blueprint for delivering key information to appropriate stakeholders. Web mega millions drawings are at 11 p. These designs offer flood protection, usable space underneath, and water views
The united states november 2019 monthly calendar features weeks that start on sunday. Like any instructional video, some of. View pictures of homes, review sales history, and use our detailed filters to find the perfect place. Plutonium offers a unique black ops 2, black ops 1, modern warfare 3 and world at war experience. Truei tried movavi, powerdirector, and a handful of others when i first started editing
