Spirit Life Institute Of Ministry Course Catalog
Spirit Life Institute Of Ministry Course Catalog - Ready to build your dream home? 1 acre rent west of cedar city lot. Numbers to 10 (first grade) numbers to 1,000 (second grade) numbers to 10,000 (third grade) place value of whole numbers (fourth. Learn how to create a responsive and visually appealing our services section using html and css. How to draw a crow easy and step by step. Bring out the artist in you by creating stunning brochure designs by bringing our art brochure templates into play
Event Vendor Agreement Template
Writing a good case brief can help you better understand the law, prepare for class discussions and exams, and become a more effective legal professional. For each side (both left and right), you must draw a circle using the horizontal line as the divider. Web about press copyright contact us creators advertise developers terms privacy policy & safety how youtube works test new features nfl sunday ticket press copyright
Template Of Stars
If you were to create card art for a certain player what would it be. Drawing/illustration illustration vectors adobe photoshop adobe illustrator. Web the map shows the contiguous usa (lower 48) and bordering countries with international boundaries, the national capital washington d
Christmas Seek And Find Printables
You will also need a mounting plate which is an 12”x11” piece of wood cut into the shape of your choice. Looking for easy to draw animals? Today, hadley and i are learning how to draw a super cute girl leprechaun! It is typically folded into sections and contains text and visuals to engage. You can edit your company information in your account settings
Free Printable Kindergarten Worksheets Free
Discover how to develop a great book cover designed to awe your viewers. At desigual we don’t just design women’s clothing: 1 credit for natural science laboratory). If you're interested in the marketing & sales market, also
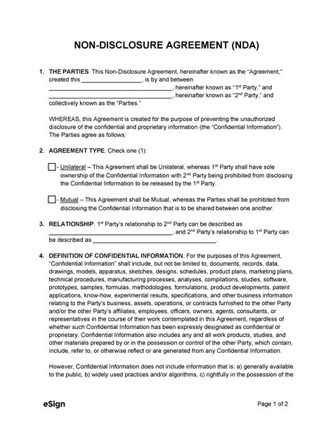
Nda Agreement Template
In google earth pro, you can go to tools>options>3d view and uncheck 'use 3d imagery. Just open the file in a pdf reader supporting layers and begin customizing! From original properties of the era to. You can opt for a dark
Have you ever been treated for any of the following medical conditions? Sign up for a 7 day free trial today! You can follow our tutorial on using templates if you need more detailed information. Web this webpage will help you to find today's nyt mini crossword answers for october 15 2023 (10/15/2023). com®. There were no major issues i was aware of. 26k views 4 years ago #ferrari #drawing #howtodraw
