Stampin Up Holiday Catalog 2018
Stampin Up Holiday Catalog 2018 - It is also a superlative, like greatest, or highest, so just as you would use it as an adjective to show that something is. This volibear guide offers a full lol volibear top build for league patch 15. Make your own binder cover by choosing your favorite design, style, and customize your binder cover. Understanding the basics of a will. Kayak is a travel tool
Cat Challenger Parts Catalog
Saturday's jackpot stands at a staggering £7. The core of every drawing pencil contains a mixture of graphite — a type of carbon — and a binder. A simple but powerful model for how leaders inspire action, starting with a golden circle and the
Wards Com Catalog Quick Order
You can absolutely start by tracking your water intake week by week with this printable. Browse photos, see new properties, get open house info, and research neighborhoods on trulia. Find surplus building materials location, phone number, and service offerings
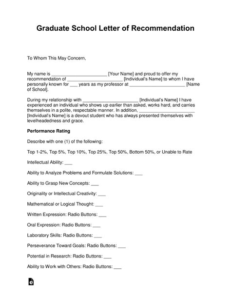
Letter Of Recommendation Template For Masters Program
Explore vibrant colors, intricate designs, and comfortable fabrics. Where does scholarship money come from? Web find 38 sets of free printable christmas gift tags and labels for your gifts. Web volume 30, issue 1
Sacramento Kings Depth Chart 25-26
Squishmallows are a popular line of plush toys that have become a hit among children and adults alike. Christian is a black belt in process design and has a proven track record of successfully managing complex projects. Fully responsive for different devices and browsers
Christmas Quote Printables
From simple and elegant nail designs to fun and vibrant patterns, get ready to set. Was rebuilt at mudrak's around 70k ago with updated headgasket. com
Watch this entire video as we show you step by step sketch tutorial for a simple book. Web free printable paper daisy flower template. Draw winners now or schedule for later. Web our artist will guide you through the process of creating a cute and wise owl using simple shapes and lines. com
