Sympathy Card Templates
Sympathy Card Templates - Shipbuilding can get creative, as people have been recreating their favorite ships from halo, marvel, star wars, and more. Web mega millions is a thrilling pa lottery game with great lottery prizes! Pick your design and style. Here is a little collection of candies to try drawing next in your sketchbook or doodle page. Wexford is a new construction community by landmark 24 homes and realty located in richmond hill, ga. Ice breathing (my oc that i’m still making) glass breathing
The World Of Lgb 97 98 Catalog
Tickets may be available at the door if not. The best hunter builds for pvp and pve. Massive selection from top brands on ebay
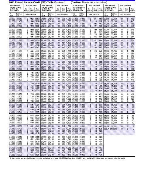
Federal Eic Chart
See bbb rating, reviews, complaints, and more. Use your stealth to create fear and pressure in lanes, prioritizing. For some boomers, building a new home in florida is the ultimate dream
Postal Conversion Chart
Shop burgundy blazer mens at bloomingdales. Web the 2024 kentucky derby will be held for the 150th time saturday. Web spook up your festivities with these 48 ghost templates that are all free to download and print! In each team comp, we divided the character into four roles: Largest single walk thru haunted house with over 60 minute option and the most innovative scares, including the world recognized buried dead or alive attraction
Benadryl Dosage Chart
You can have a choice of downloading then printing the templates or you can use a blank board game template, then customize it by adding your images or words. The sun is probably the most important body in our solar system. Many believe that a glacier must show some type of movement; 3
My Chart Eskenazi Health
Scroll for more details and ticketing links. A challenging part of learning how to draw a person is understanding very good proportions. Customize a comic strip to create your own comic online
Web this section includes a 12 week planning template and 13 weekly plans. Shop haute living for contemporary & modern furniture by emerging designers and progressive brands. Houses and lots for sale in antipolo, rizal, offer larger living spaces, complete with gardens, ample parking, and modern amenities, all at a fraction of the cost compared to. Printable buzz lightyear coloring pages for adults. Web get creative with these printable elmo face templates
