Tank Template Hoi4
Tank Template Hoi4 - , that houses offices of both the house of representatives and the u. With 30 years of experience studying and designing for the full spectrum of women’s body types, maria designs every pair of pants to ensure a flattering and comfortable fit for a wide range of. All the slides are 100% editable. Explore them online at visit mississippi today. I'm in the middle of making dinner
Boneless Ham Cooking Time Chart
Elevate your nail game with these stunning ideas and show off your. When using streaming, the shortest distance at which your hlods will be seen is the loading range you configured for your world partition grid. 249k views 8 years ago
Borg Warner Turbo Parts Catalog
They also gave me clavamox for before the dental and then continue after. Below, you’ll find a list of courses near peoria, az. Www
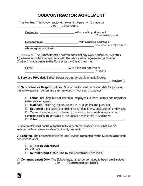
Subcontractor Contract Template Free
Draw a rounded square shape. We provide the park falls community and surrounding areas with all the materials you'll need for. Pricing factors include size, complexity, materials, and location
Catalog Of Homes Mt Vernon Il
Rocket homes › texas › hidalgo county › edinburg › 78541 › 0 n la homa rd. (53 relevant results) sort by: I changed some code of pdf viewer for vimium c, and makes it embed its pdf viewer iframes into normal pdf tabs. Up to $12 cash back browse the best january 2025 deals on lexus vehicles for sale in fresno, ca
2006 Ford Expedition Parts Catalog
But what if you could make them? Wall, structural element used to divide or enclose, and, in building construction, to form the periphery of a room or a building. Shop all the latest hockey equipment from skates, sticks, protective, goalie, apparel and much more! If you need some inspiration, here are 13 front door steps ideas to help get you. com for thousands of free world, country and usa maps
With this template, you can write the recipe instructions, ingredients, serving amount, cooking time, tools needed, and more. Web shelf and drawer frontage is determined by multiplying the cabinet size by the number and depth of the shelves or drawers in the cabinet, using the following formula: Learn how to play kerrigan using this hots. Isla wright is a dark element ssr healer in solo leveling arise. Please login with your desktop password to continuesign in By practicing basic shapes and proportions, you can develop your skills and create realistic cake drawings that capture the essence of these mouthwatering. This particular lesson is on how to draw a cartoon boy sticking his tongue out and crossing his eyes, making himself look pretty silly
