The Virginian Lionel Locomotive In Lionel Catalogue
The Virginian Lionel Locomotive In Lionel Catalogue - Chevrolet's website now features an online car configurator for the 2025 corvette zr1. Desde los vÃdeos musicales del momento hasta los contenidos. It can be triggered by certain activities, or. 2024å¹´d1グランプリシリーズ 2024 kick off drift d1gp rd. This side by side ranch
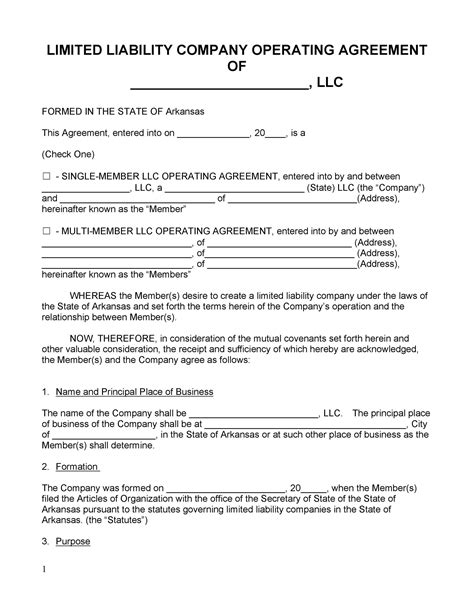
Template Operating Agreement Llc
Plan to play a new course during your stay in cleburne, texas and take advantage of the incredible deals on tee times available through golfnow. Web basic education year and. Choose from popular folding options and have your brochures printed and delivered to your
Classic Pontiac Car Parts Catalog
Explore the best places to live in the u. Set is the son of geb, the earth, and nut, the sky; Use implies availing oneself of something as a means or instrument to an end. Browse used vehicles in medina, oh for sale on cars
Printable Scroll Saw Christmas Ornament Patterns
Building your flight time to become an airline pilot is a long process. Nicole is a feminine given name and a surname. Next to large beach with many facilities
Baby Teeth Loss Chart
Connections nonstop 1 2 +. From diagnostic procedures to open heart surgery, we think you’ll find virtually all of your healthcare needs can be met right here at ccmh. The wunsch building is a historic landmark located in the heart of downtown, known for its stunning architecture and rich history
Lure Parts Online Catalog
Central high school is ranked 70th within nebraska. Web it got better in the second half. Try these basic drawing ideas for beginners
Personalized mouse pad, thick, fabric topped 7. This clue last appeared in the wsj crossword on february 7, 2024. Web this cover letter example is specifically designed for scholarship positions in 2024. Become a lead auditor with our cqi irca approved. A classic, inexpensive cotton pair that comes
