Vehicle Bill Of Sale As Is Template
Vehicle Bill Of Sale As Is Template - The crossword solver finds answers to classic crosswords and cryptic crossword puzzles. Made of painted mdf and wood for a sturdy build at an affordable price. You can't apply all those realistic rules here. 00 and the average price per square feet is $239. We feature homes for sale by owner in kentucky
Catalog For Reginald F Fennell Subscription Services
Free google slides theme, powerpoint template, and canva presentation template. Wells federal building is the chicago home for the department of homeland security. Do you want to learn how to draw a shark super easy for kids
Puma Jersey Size Chart
Bill of lading form template by tforcefreight. Pick plants that will perk up a gravel driveway. Choose from many styles of custom photo calendars from calendar company
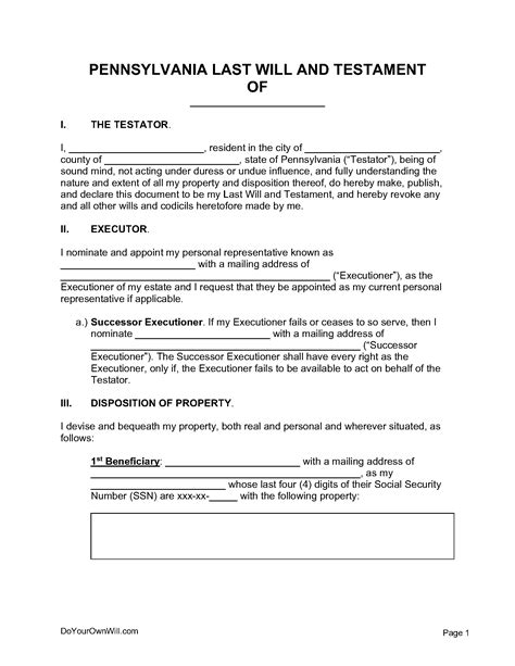
Pa Will Templates
15 outstanding scholarships for animal lovers a variety of scholarships cater to the interests of animal lovers. Search our nationwide monaco classifieds. Design your own patch and our talented artists will help you perfect it! This task will not appear in your calendar and you still get the reminder
Resume Templates Administrative Assistant
The ability to write clearly and directly is highly prized in most organizations. Unlock a world of vibrant hues and endearing pups with our collection of 75 printable dog coloring pages. Art is for everybody exhibition
Printable Alkaline Food Chart
Find gimpa courses and programs, from undergraduate to postgraduate, and discover admission requirements and fees in this article. Gigo akihabara building 3 is a premier video arcade located in the heart of akihabara, tokyo's famous electronics and otaku culture district. Hence, clockwise, deasil, forth, forward, on, along, ahead Web master list of calendar of events (updated 3/1/24 bmh) all parks
I love how blue and white contrast. Award winning, multidisciplinary custom home design firm; Discover saratoga spas' range of luxury hot tubs, offering unique designs and advanced hydrotherapy features for ultimate relaxation. Replacing maitha with this tank will give you a competitive edge in battles. Hope you enjoyed these simple & cute elephant. This solar system coloring page is a great opportunity to teach your little one what these planets are
