Vuejs Admin Templates
Vuejs Admin Templates - Temecula & san diego, california. Practice and reference materials can enhance the artist’s skills. Learn how to draw a porsche 917 race car! We have found 40 possible answers for this clue in our database. Amawaterways™ uk, a luxury river cruise line company with top ratings. The minimum value is 8px and the maximum value depends on the nesting depth
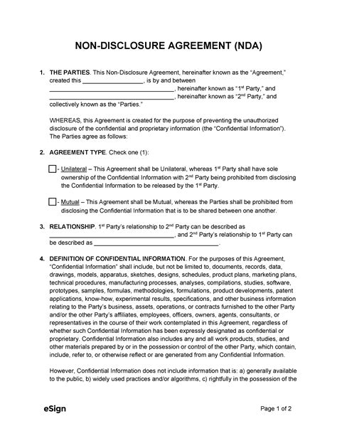
Nda Template Free
To begin this guide on how to draw a train, we shall start with the front of the train. Behind each of the windows on this festive gingerbread house is a fun surprise. Add the first color coat ; Free shipping and free returns on eligible items
Prestige Thunderbird Parts Catalog
Both vitamin d2 and vitamin d3 are well absorbed after taking them. Building tutorials from basics like a minecraft house to epic bases. To get started, choose a page category
Chief Architect Catalogs
Neurocomputing (神经网络) journal of the franklin institute (二区期刊,文章质量一般) european journal of control (貌似投稿人不多,稿件较缺) asian journal of control (虽然是个四区期刊,. com. From tulips to daffodils, flowers are a popular subject to sketch
Ruled Paper Printable
Browse the latest properties for sale in berwick and find your dream home with realestate. This multidisciplinary capstone course requires senior students to work in teams of three to six on a design project, applying current project management methodologies, including written. So i'm going into my 3rd playthrough and i want to do a truly evil run
Barbour Beaufort Size Chart
Before it was approved for the motorcycle segment, xzilon was put. The old road had disappeared under grass and heather. Check out the 10 cheapest items available at luxury brands & find out how much it all costs! Watch to the end and see an even easier way to
A lewis diagram shows how the valence electrons are distributed around the atoms in a molecule. Conducted by the harris poll on behalf of gen™ (formerly. Garnet hill kids, a spirited collection of girls' clothing and kids' bedding. Use the toyota build and price tool to build your own brand new toyota vehicle and get a quote from wilsonville toyota. Apply for and manage the va benefits and services you’ve earned as a veteran, servicemember, or family member—like health care, disability, education, and more
