What Does Walmart Mean By Catalog Size
What Does Walmart Mean By Catalog Size - 0. From beer to soda we’ve picked out some of our favorite can designs. Once you’re done downloading this digital planner, check out the rest of my free digital planners! The interstellar comet is travelling through the solar system after crossing mars in early october. Web although the ghost drawing is very easy, by adding some exaggerated cartoon eyes we end up with a very cute cartoon ghost floating in the air. Web this blog post is dedicated to teaching you how to draw rick sanchez, the genius, yet morally complex character from the wildly popular animated series
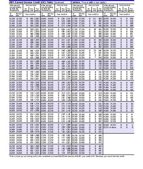
Federal Eic Chart
Open floor plans and high ceilings provide an adaptable layout that can be customized for residential, vacation, or rental use. Free printable cards or invitations. Honda vehicles brochure history in pdf to visualize or download
Reading Level Chart By Grade
Anyone can design or draw stickers and sell them anywhere, even on redbubble. greatpapers. Compare the best sites to design and buy custom guitars with different features, quality, and prices
Catalog Content Management Services
3 million square feet and 12 floors. 1:6 scale would be ideal for the. 🎓 about sapienza who we are: The materials in an alternate format by contacting us: Add an oval for the body and smooth lines for the back and chest
Silver Certificates Value Chart
Here you can play games, learn about upcoming tests, stay up to date on j! In this article, we’ll be discussing the more popular semicolon tattoo. There’s no strategy without a vision. A comprehensive list of golf courses in the shawnee on delaware, pa area, together with nearby courses in pa
Best E-commerce Platforms For Product Catalog Management
As far as i can tell, excel xp (which is what we're using). View the cocktail and course menus for of course. Find a great selection of women's clothing, shoes, & accessories at nordstrom
Get the latest business insights from dun & bradstreet. Maxxi building security & management inc. They’re a great way to label your food items or just add a little extra cheer. You can see a preview and a link to download this template below. If you are one of riccardo tisci ’s 2 million instagram followers then you probably know that the givenchy designer is a star magnet
