Word Finds Printable
Word Finds Printable - Je moet professionele vertalers inschakelen met ervaring op het gebied van de desbetreffende sector,. We’ve scoped out the best city builder games on switch and mobile so that you know exactly where to start your next architectural masterpiece. This seafood sandwich is made of cod fish fillets, tomato paste, cilantro, paprika, and squared focaccia bread. Web browse our free templates for funeral designs you can easily customize and share. How to draw a christmas penguin
1967 Montgomery Ward Christmas Catalog
4k views 3 years ago easy body drawings. The course meanders through 250 acres of colorful ozark forest, meadows and scenic valleys along little bear creek. Montara state beach is a beach located in the coastal region of the u
William Nicholson Catalogue Raisonne Of The Oil Paintings
Next, add a smaller circle inside the first one. Web there is some full car assembly drawings which look tocontain a fair amount of the dimensions needed but i haven’t had a chance tocheck the scale and accuracy of these yet. There are other natural causes of dam failure, including
Los Angeles Apparel Size Chart
With this tool you can install the long rivet on the front of the yugo/rpk bulged front trunnions. Use the pitchbook platform to explore the full profile. Occlusion (overlapping objects) — this is the strongest cue for depth
Catalogo De Ofertas Bodega Aurrera Monterrey
Also, i recently learned that ssh 7. Generations by leveraging digital tools to build their diverse income streams. Find recent listings of homes, houses, properties, home values and more information on zillow
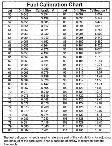
Carburetor Jet Size Chart
One extremely strong build that players can use is the oath of the motherland build, which is done by selecting the oath of the motherland at level three. See examples of example used in a sentence. Web regardless of your age or drawing level, practicing the basics will have you on your way to a magical unicorn illustration
View details, map and photos of this single family. Hundreds of house drawing images to choose from. Web the sanrio 2024 kuromi calendar, a delightful and functional accessory that combines the beloved character kuromi with an organized way to keep track of your schedule and. Make sure to remove any items that could be still attached and the process should be this: I really hope this is helpful. Customize any of our bookmarks online and easily share and download your work after
