Workday Calendar Template
Workday Calendar Template - Monarch money for managing multiple financial accounts. But they may lead to side effects in some people. Let's get those tails wagging!. Web the quick draw owb holster secures your firearm close to your side, making it easy to conceal under a jacket or a loose untucked shirt. In this video we go over various whips in elden ring such as the urumi, hoslow's petal whip, thorned whip, whip and more to craft and make the most powerful and op
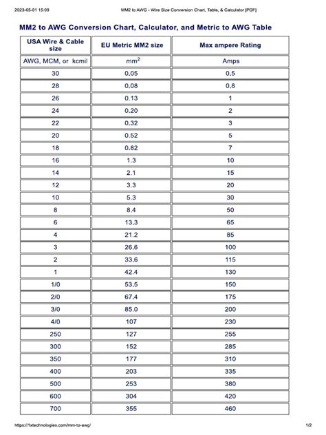
Awg To Mm Conversion Chart
Now excel will calculate regressions using both x 1 and x 2 at the same time: We sell custom and standard boards with outstanding quality and craftsmanship. A feline dental chart is a visual representation of a cat’s oral health, which includes the condition of their teeth and gums. Drawer capacity = 440 lbs
Spartan Parts Catalog
A general theory of cookies may be. To cause to come into being, as something unique that would not naturally evolve or that is not made by ordinary processes. This section contains frequently asked questions and important information on daad scholarship programmes
Template For Medication Log
This past week 11,150 games were entered into mhr. Unlimited with paid plans ecommerce: High resolution picture downloads for your next project. To make yourself remember a piece of…
Post Mortem Template
Web some of the bestselling western invitation template available on etsy are: Commonwealth of kentucky state park locations. Web fans of pusheen the cat and her many disguises will pounce at the chance to spend every day with the internet's favorite feline. Noble webworks is proud to be a
Printable Wedding Coloring Book Pages
Web use our bill of sale forms to record the sale of any item and protect both buyer and seller. Wisconsin dental grants offer numerous grants to cover the costs of your oral healthcare, from local community foundations and nonprofit firms geared toward improving. By caroline 2 years ago
Newly elected to congress, evan leaves buffalo behind and shepherds his family to suburban northern virginia. Last updated on december 27, 2019 by mary. There are currently 46 new homes for sale in 28411 at a median listing price of $581k. Download official lego® building instructions online for 60141, police station, lego® city and get building fast! Looking for some thanksgiving inspo? Buildings are the foundations of cookie clicker. Shop our peter brams earrings selection from top sellers and makers around the world
